9+ Land Contract Templates

A land contract template is a legal agreement that is used for the purchase and sale of a real property such as an apartment building, commercial building, vacant land or other real estate. Land ownership transfer is a complicated process and it involves huge amounts of cash. Therefore, it is due diligence to get into a contract, to secure the interest of both parties. Usually, the buyer and seller both signed the land contract covering agreed-upon terms and conditions of the sale. In the case of this template, the title or deed is held by the owner until the full payment is done. The major purpose of a land contract document is to differentiate the sale of a particular item or real property between a seller and purchaser.

Importance of Land Contract:

It is very obvious that the sample land contract format is of great importance, not only for buyers but also for sellers. It is the best choice when a buyer is interested in a property but has some financial issues. Moreover, the buyer is willing to make monthly payments directly to the seller, if the seller is willing for such a transaction. Apart from this, it is an important contract which will be beneficial in case the buyer fails to make payments or fails to make the monthly payments for a period of more than three months to the seller under normal conditions. For the buyer, it is of extreme significance because, due to this document, the seller will not be able to sell the property further.

Details of Land Contract Template:

The land contract format is generally considered as a special type of real property agreement. These documents can be easily written or modified by any seller or buyer. However, usually a land contract can be used for numerous reasons, like it is a form of short-term financing. When you are selling real estate property through a land contract document, it can provide a quicker and less expensive way for the property owner to move the home. Further, the property sold on this agreement can usually be priced higher than a sale done with bank financing. In some states, these agreements are also known as contracts for deeds or deeds of trust.


Free Land Contract Template PDF

  • File Size : 30.18 KB
  • Downloads : 162
  • File Type : application/pdf
  • Uploaded : January 12, 2018
  • Source : www.contractstemplates.org

Land Sale Contract Format

  • File Size : 0 Kb
  • Downloads : 209
  • Uploaded : January 12, 2018
  • Source : sampleforms.com

Land Contract Template MS Word

  • File Size : 0 Kb
  • Downloads : 133
  • Uploaded : January 12, 2018

Printable Land Contract Example

  • File Size : 37.17 KB
  • Downloads : 187
  • File Type : application/zip
  • Uploaded : January 12, 2018
  • Source : cap-press.com

Land Installment Contract Format

  • File Size : 67.93 KB
  • Downloads : 196
  • File Type : application/zip
  • Uploaded : January 12, 2018
  • Source : mycenturytitle.com

Commercial Land Contract Format

  • File Size : 67.56 KB
  • Downloads : 157
  • File Type : application/zip
  • Uploaded : January 12, 2018
  • Source : rurallawcenter.org

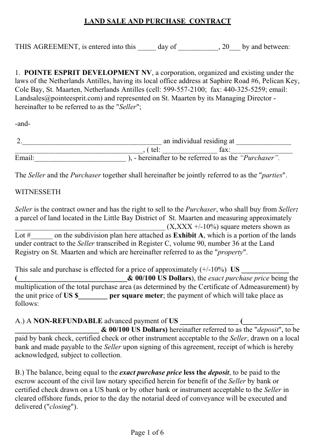
Land Purchase Contract Format

  • File Size : 14.39 KB
  • Downloads : 143
  • File Type : application/zip
  • Uploaded : January 12, 2018
  • Source : pointeesprit.com

Professional Land Contract Format

  • File Size : 29.16 KB
  • Downloads : 104
  • File Type : application/zip
  • Uploaded : January 12, 2018
  • Source : sampletemplates.com

Land Purchase and Sales Contract Format

  • File Size : 0 Kb
  • Downloads : 99
  • Uploaded : January 12, 2018
  • Source : sampletemplates.com

Recently Added